Skip to content
Carlo G. Romero
It's about love and thermodynamics
Menu and widgets
Home
Projects
Art
Writing
Homeless Interviews
Education
SAT Preparation
Books and Reading
Science and Engineering
Software Engineering
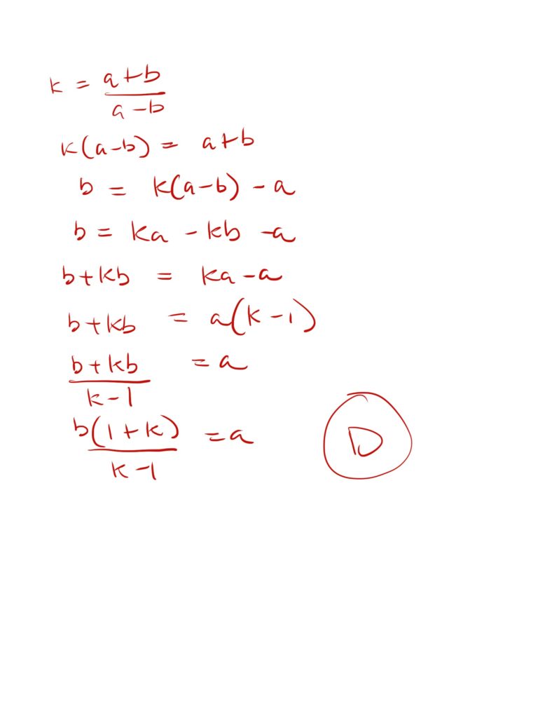
Equations with Fractions – Problem 3