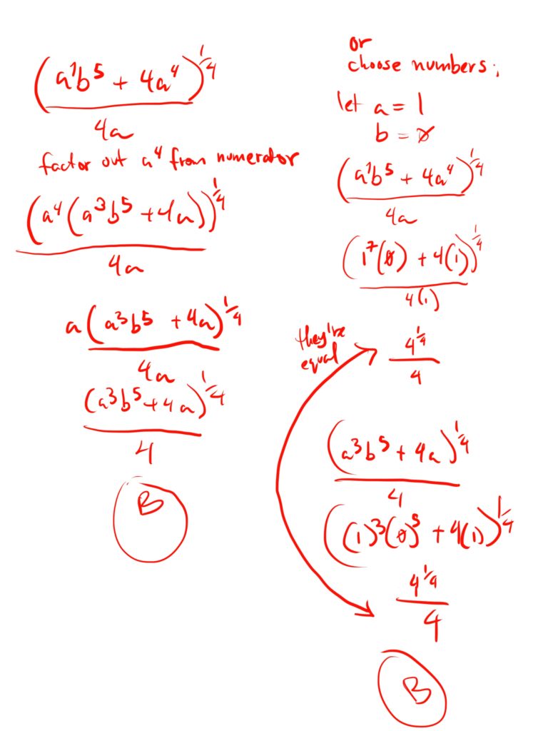
Problem 2