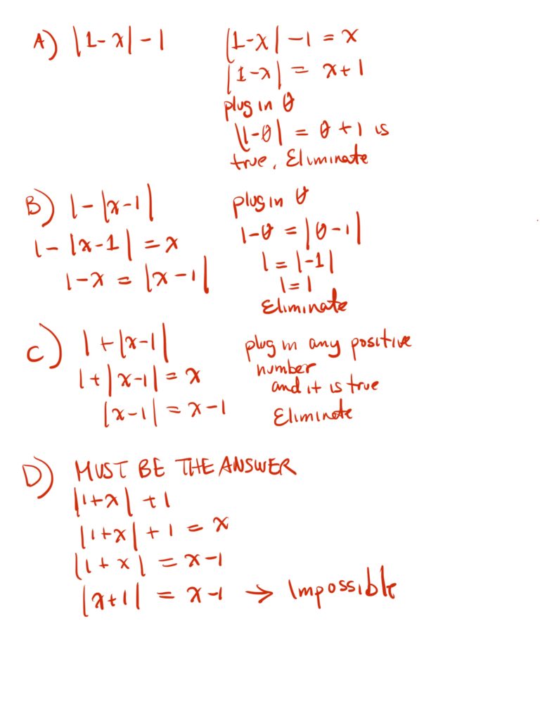
Absolute Value – Problem 1